求D(X)、D(Y)

作者:高老师 浏览 0



求D(X)、D(Y)
【正确答案】:



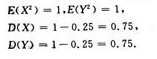
【题目解析】:方差公式:D(X)=E(X²)-[E(X)]²​由​X、Y的边缘分布律可知,X²的取值只有1,Y²的取值也只有1,故E(X²)=1、E(Y²)=1D(X)=E(X²)-[E(X)]²=0.75D(Y)=E(Y²)-[E(Y)]²=0.75

📱 扫码体验刷题小程序

微信小程序二维码

扫一扫使用我们的微信小程序

热门题目

已复制到剪贴板