翰林刷题,免费考试真题网站!
首页
关于我们
首页
›
分类
› 详情
作者:高老师
时间:2024-07-28
浏览 0
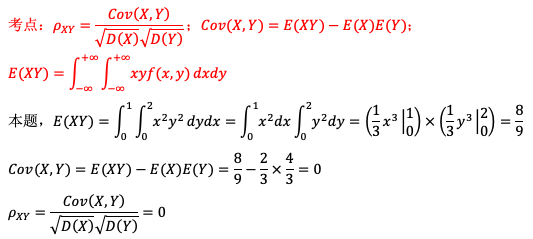
【正确答案】:
【题目解析】:
📱 扫码体验刷题小程序
扫一扫使用我们的微信小程序
热门题目
简述爱国主义的含义和基本内容。
融贯李清照《声声慢》(寻寻觅觅)全词的情感内容是()
甲乙签订了钢材买卖的合同,约定由甲发送到乙处.乙方验收后付款.但是对于运输费用的承担双方没有说明,应当如何分担()
好的目标包括的属性有
所谓“企业管理的二重性’’是指企业管理()
宪法与条约的关系并不涉及宪法的最高法律效力问题。请对此观点进行辨析。
国外公务员晋升的方式主要有()
管理者不需要了解每位员工面临的个人问题。
审计组织
漢字の規則ゃ絵との関係( )いろいろ調べてみました。
How do you understand the line “I loafe and invite my soul”?
➕
➖
📋
⬆️
已复制到剪贴板