翰林刷题,免费考试真题网站!
首页
关于我们
首页
›
分类
› 详情
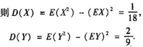
D(X),D(Y)
作者:高老师
时间:2024-07-28
浏览 2
D(X),D(Y)
【正确答案】:
【题目解析】:
📱 扫码体验刷题小程序
扫一扫使用我们的微信小程序
热门题目
根据《非金融企业债务融资工具信用评级业务自律指引》,下列正确的是( )。Ⅰ.信用评级机构从业人员应遵守相关法律法规和职业规范,遵
禁止内幕交易的主要措施是( )。
( )指人的能力与岗位要求的能力完全匹配。
简述劳动力市场均衡的意义。
加速折旧法就是通过缩短折旧年限而加速折旧的步伐。
上古埃及保存文字作品的主要材料是
美国意识流小说家福克纳的代表作是( )
教师与幼儿沟通时,不正确的做法是()
什么是等产量线?它有什么特征?
在下列企业应纳资源税的是()
この著作をいたしました。
Put the following words and phrases into English.法律咨询
➕
➖
📋
⬆️
已复制到剪贴板