翰林刷题,免费考试真题网站!
首页
关于我们
首页
›
分类
› 详情
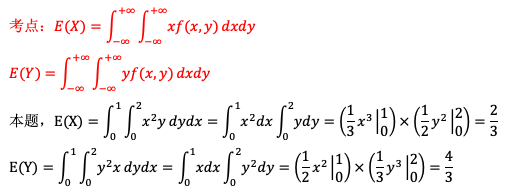
E(X),E(Y)
作者:高老师
时间:2024-07-28
浏览 1
E(X),E(Y)
【正确答案】:
【题目解析】:
📱 扫码体验刷题小程序
扫一扫使用我们的微信小程序
热门题目
常用的面向对象的语言有
下列选项不属于微观性风险的是( )
颁奖仪式的高潮是____,因此____。
社会主义初级阶段就是( )
对会计对象按照其经济特征所做的具体分类是指()
下列选项中,属于学前教育特点的是( )
按有关规定,国有企业改组为股份公司时一般应以评估确认后的净资产折为国有股的股本,如不全部折股,折股比率不得低于( )
下列有关护理研究论文讨论部分的撰写注意事项的描述,不正确的选项是( )
俗语说“三日不练,手也生”是指桑代克学习规律中的 【 】
某工厂有职工400名,其中男女职工各占一半,男女职工中技术优秀的分别为20人与40人,从中任选一名职工,试问:(1)该职工技术优
在美国传媒舆论监督史上具有里程碑意义的“水门事件”调查,发生在上世纪( )
第2题
➕
➖
📋
⬆️
已复制到剪贴板