翰林刷题,免费考试真题网站!
首页
关于我们
首页
›
分类
› 详情
作者:高老师
时间:2024-07-28
浏览 0
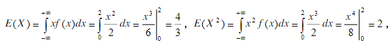
求:
【正确答案】:
【题目解析】:
📱 扫码体验刷题小程序
扫一扫使用我们的微信小程序
热门题目
内部招聘
宪法的基本原则是指人们在制定和实施宪法过程中必须遵循的最基本的准则。我国宪法规定“中华人民共和国的一切权力属于人民”。这体现了我
了解受训者对培训内容掌握程度的培训效果评估层次是
面试时,当应聘者情绪过于低沉时,可以采取的方法有
所得税税率特别低或不征所得税的国家或地区称为( )
自然美
采用集中核算时,企业会计工作主要集中在( )
International not-for-profit trade association with 50 corporate
Access字段名不能包含的字符是()
Complete the sentences with the words derived from the brackets.
有一批建筑房屋用的木柱,其中 80%的长度不小于 3 米,现从这批木材中随机抽取 100 根,问其中至少有 30 根短于 3 米
保险经营中最大诚信原则的主要内容是.
➕
➖
📋
⬆️
已复制到剪贴板