翰林刷题,免费考试真题网站!
首页
关于我们
首页
›
分类
› 详情
作者:高老师
时间:2024-07-28
浏览 0
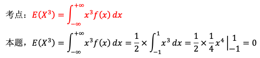
【正确答案】:
【题目解析】:
📱 扫码体验刷题小程序
扫一扫使用我们的微信小程序
热门题目
19世纪欧洲空想社会主义是马克思主义直接理论来源之一,其代表人物是()。
试述企业制定业务外包实施方案环节的主要风险和控制措施。
在产品导向的职能模式下,人力资源的组织、计划与获取职能体现在()
凝结在商品中无差别的一般人类劳动是商品的 ()
公司的特征有哪些()
《古兰经》
关于“是什么”的知识,如对事实、定义、规则和原理等描述的知识属于
一般来说,“了解周围生活中的环境污染现象和人们保护生态环境的活动,”这一目标适合于
结构化生命周期法最突出的特点是( )
The word do in do one's teeth means______.
司马迁在《报任安书》中自述因替降将辩解而“深幽囹圄之中”,这位降将是
"思维决定语言"这一观点的代表人物是()
➕
➖
📋
⬆️
已复制到剪贴板