翰林刷题,免费考试真题网站!
首页
关于我们
首页
›
分类
› 详情
作者:高老师
时间:2024-07-28
浏览 0
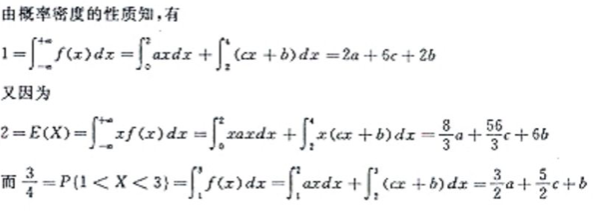
【正确答案】:
【题目解析】:
📱 扫码体验刷题小程序
扫一扫使用我们的微信小程序
热门题目
抗战初期的平型关大捷及其意义是什么?
( )可以分散经营风险,提高企业的经济环境适应能力
2010年国务院决定进行第六次全国人口普查,此次人口普查的标准时点为2010年
基本经济批量模型的基本假设条件不包括
在英国,《公司法》(1985)要求,必须将这些账目和报告发送给( )
根据学前儿童心理发展特点,“前读写”阶段主要完成的任务是()
在独立审计基本准则中的外勤准则中指出注册会计师对审计过程中知悉的商业秘密应当保密,并不得利用其为自己或他人谋取利益。
某化妆品公司销售一批化妆品,增值税专用发票上注明的价款为60,000元,增值税税额为10,200元。消费税税率为30%。该公司应
会计工作中作为记录经济业务、明确经济责任的书面证明,登记账簿的依据的是()
We are disappointed to note that so far we have not received you
文件的存取方式是与( )有关的。
Who do “we” refer to?
➕
➖
📋
⬆️
已复制到剪贴板