翰林刷题,免费考试真题网站!
首页
关于我们
首页
›
分类
› 详情
作者:高老师
时间:2024-07-28
浏览 1
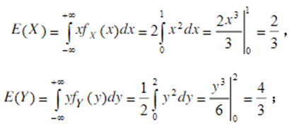
【正确答案】:
【题目解析】:
📱 扫码体验刷题小程序
扫一扫使用我们的微信小程序
热门题目
销售人员要通过良好的个人形象向客户展示( )
电子商务企业的物流模式有哪些?
按单利计算出来的资金未来的价值称为( )
俄罗斯联邦教育科学学院通讯院士,主要著作有《幼儿园教学》、《幼儿园的作业》等,被苏联公认的学前教育理论家是
He lived quietly with a woman who was neither young nor old,neit
As to terms of payment, we often require a letter of credit paya
gigantic
创建 Employee类,该类中有数据成员姓名、街道地址、市、省和邮政编码,构造函数、 ChangeName函数、 Displa
比较适用于业务相对稳定的组织的信息化规划的方式是( )
由我国境内股份公司发行的 H 股股票的上市交易地是()
简要回答系统测试的两种常用方法。
母公司如果预测某一子公司的东道国货币可能贬值,跨国公司就可以采取子公司()办法,减少因货币贬值造成的损失。
➕
➖
📋
⬆️
已复制到剪贴板