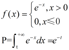
该型号电视机的使用寿命超过t(t>0)的概率 作者:高老师 时间:2024-07-28 浏览 0 设某型号电视机的使用寿命X服从参数为1的指数分布(单位:万小时).该型号电视机的使用寿命超过t(t>0)的概率【正确答案】:【题目解析】: 📱 扫码体验刷题小程序 扫一扫使用我们的微信小程序