翰林刷题,免费考试真题网站!
首页
关于我们
首页
›
分类
› 详情
作者:高老师
时间:2024-07-28
浏览 0
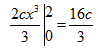
【正确答案】:
,
【题目解析】:
📱 扫码体验刷题小程序
扫一扫使用我们的微信小程序
热门题目
企业应收账款周转率与上一年度相比有明显提高,说明该企业的经营状况是( )。
Why So Many Children?In many of the developing countries in Afri
在数据资料的调查活动中,调查组织工作包括( )
简述企业经营实力分析的主要内容。
35.广告行政处罚复议决定
某城郊街道幼儿园借用某村原小学的已有年头的五间教室和有些破败的操场而创设,开办有大班、中班、小班三个班,原有三间教室内的设备(包
个人所得税区别各种所得项目,规定的几种不同税率有
待摊费用(预付费用)是指( )。
The host made a sincere_________ to his guests for having cancel
某分页存储管理系统,逻辑地址长度为24位,其中页号占10位,则页大小是
Thirty years ago, when I was a schoolboy, the ancient conservati
落后于总体经济情况变化的指标称为落后指标,主要包括( )
➕
➖
📋
⬆️
已复制到剪贴板