翰林刷题,免费考试真题网站!
首页
关于我们
首页
›
分类
› 详情
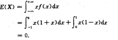
X的期望E(X)
作者:高老师
时间:2024-07-28
浏览 0
X的期望E(X)
【正确答案】:
【题目解析】:
📱 扫码体验刷题小程序
扫一扫使用我们的微信小程序
热门题目
在马克思主义看来,道德产生的条件有哪些?
管理学的早期发展,除了和科学管理理论相关外,还和哪门学科的兴起也是分小开的? ( )
Passage ThreeBefore the grass has thickened on the roadsides and
亲子游戏
一个有向图G中若有弧、和,则在图G的拓扑序列中,顶点Vi、Vj和Vk的相对位置为_____。
简要回答海运提单的性质和作用。
范晔《狱中与诸甥侄书》论述的主要是
根据卡利什的人类基本需要层次论,下列属于刺激需要的是 ( )
均数不适用于()
孕妇自妊娠____周开始感觉到胎动。
对氯反应性代谢性碱中毒的常见原因有()
在遗传咨询中,不能结婚的情况包括 【 】
➕
➖
📋
⬆️
已复制到剪贴板