翰林刷题,免费考试真题网站!
首页
关于我们
首页
›
分类
› 详情
E(x),D(x)
作者:高老师
时间:2024-07-28
浏览 0
E(x),D(x)
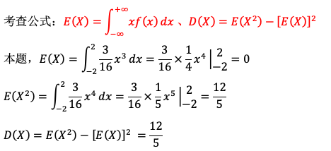
【正确答案】:
【题目解析】:
📱 扫码体验刷题小程序
扫一扫使用我们的微信小程序
热门题目
下列关于施工定额和企业定额编制的说法,错误的是( )。
证券公司向客户介绍投资收益预测,( )。Ⅰ.必须恪守诚信原则Ⅱ.提供充分合理的依据Ⅲ.以书面方式特别声明Ⅳ.所述预期仅供客户参考
T公司深刻地认识到,先进的管理只有依靠优秀的人才才能实现,人才培训是造就优秀人才的必要途径。18年来,该公司已经累计培训员工20
申克诉合众国案发生于1919年。申克是美国社会党总书记,在第一次世界大战期间,申克与其友人共同向应征男子散发反对征兵的传单,不但
给沟通的保真程度下一个定义。
幼儿园评价儿童体格发育多使用
亚当·斯密所使用的资本概念有( )
Which of the following is NOT a romantic poet?
道德范畴信用是经济范畴信用的支撑与基础、二者最大区别是道德范畴信用的非强制性和经济范畴信用的强制性。
简述数据与信息概念的区别与联系。
夺文指漏脱了文字,衍文指________。这是近代汉语文献里常见的现象。
C源程序中常定义多个不同的函数,函数之间不能通过____传递数据。()
➕
➖
📋
⬆️
已复制到剪贴板