翰林刷题,免费考试真题网站!
首页
关于我们
首页
›
分类
› 详情
常数c
作者:高老师
时间:2024-07-28
浏览 1
常数c
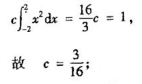
【正确答案】:
【题目解析】:
📱 扫码体验刷题小程序
扫一扫使用我们的微信小程序
热门题目
中国共产党的根本宗旨是()
《咬文嚼字》中,作者用“锱铢必较”这个成语所说明的道理是( )
属于“推不出”逻辑错误的有
幼儿园评价儿童体格发育多使用
公司有一应纳税厂房,原值为500000,当地规定房产税扣除比例为25%,税率为1.2%,该房要缴纳多少房产税()
根据国际会计准则,企业应在会计报表附注中披露哪些事项?
IPv6规定的IP地址长度是
market access
在Visual FoxPro中可以建立的主要人机接口界面是:菜单、工具栏和
选题过程可以体现研究者的( )
病例:男性,68岁,退休干部。患高血压20余年,近五年血压一直不稳定,并出现记忆力下降,多次买东西,把东西落在车筐里,看见同事有
简述文化的概念和特征。
➕
➖
📋
⬆️
已复制到剪贴板