翰林刷题,免费考试真题网站!
首页
关于我们
首页
›
分类
› 详情
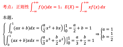
常数a,b
作者:高老师
时间:2024-07-28
浏览 0
常数a,b
【正确答案】:
【题目解析】:
📱 扫码体验刷题小程序
扫一扫使用我们的微信小程序
热门题目
在世界航海史上,最早的大规模远洋航行是()
工作满意度与其他态度倾向一样,其心理结构包括三个部分:情感、行为意向和( )
罗伯特·欧文对管理理论的贡献是首次提出了()
法约尔的一般管理理论认为管理包括
在园所管理的原则中,要求管理者不要忽视对支配人们行为的观念的关注与管理的原则,叫作( )
该出口企业的外汇净收人为多少美元?
帮助人们绘制数据流程图、系统结构图、ER图的工具属于【】
The most productive means of word-formation are affixation,() an
设袋内有5个红球、3个白球和2个黑球,从袋中任取3个球,则恰好取到1个红球、1个白球和1个黑球的概率为_________。
“三废”一经利用就可以成为()
被称为“昆曲之祖”的戏曲家是( )
下列《项脊轩志》中的人物语言,出于作者祖母之口的是( )
➕
➖
📋
⬆️
已复制到剪贴板