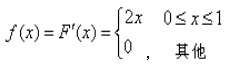
设随机变量X的分布函数是,则E(X)=_____________ 作者:高老师 时间:2024-07-28 浏览 0 设随机变量X的分布函数是,则E(X)=_____________【正确答案】:【题目解析】: 📱 扫码体验刷题小程序 扫一扫使用我们的微信小程序