设随机变量X的密度函数为( )

作者:高老师 浏览 0

设随机变量X的密度函数为( )
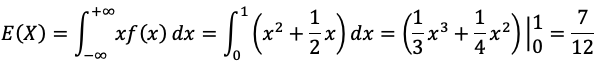
【正确答案】:7/12
【题目解析】:本题计算过程为:

📱 扫码体验刷题小程序

微信小程序二维码

扫一扫使用我们的微信小程序

热门题目

已复制到剪贴板