翰林刷题,免费考试真题网站!
首页
关于我们
首页
›
分类
› 详情
若X的概率密度是( )
作者:高老师
时间:2024-07-28
浏览 0
若X的概率密度是( )
【正确答案】:1/3
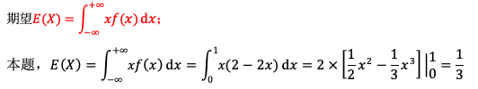
【题目解析】:
📱 扫码体验刷题小程序
扫一扫使用我们的微信小程序
热门题目
农业资本家所获得的剩余价值是()
将劳动合同双方已订立的合同条款达成修改补充协议的法律行为,称之为
在经济资源配置中,市场发挥作用的优势是在()。
指导幼儿表演游戏中选择的文艺作品要符合的两个基本要求,一是便于幼儿理解并富有教育意义;二是( )
“p并且q”真,当且仅当()
下面属于审美愉悦的是()
The diffusion of fake news is facilitated by the difficulty of a
汉译英第十个人抽过(签)之后,一种怨愤的感觉使他烦恼不安。
viability
Modern English has a large number of words which come from ( ) n
马克思主义的经济周期理论深刻阐述了资本主义经济危机的
顾贞观《金缕曲》中,"盼乌头马角终相救"的含意是 ( )
➕
➖
📋
⬆️
已复制到剪贴板