翰林刷题,免费考试真题网站!
首页
关于我们
首页
›
分类
› 详情
X的方差D(X)
作者:高老师
时间:2024-07-28
浏览 0
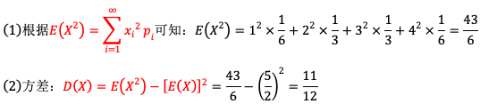
试求:
X的方差D(X)
【正确答案】:
【题目解析】:
📱 扫码体验刷题小程序
扫一扫使用我们的微信小程序
热门题目
In the __________ of any evidence, the police had to let the gan
垂直一体化
影响消费倾向的主观因素有哪些?
教师在课堂上通过讲解,示范等提示活动来教授课程内容,这种类型的教学方法是
康有为的学前教育思想主要体现于他的( )
まだ4月なのに、まるで夏( )です。
文の中のA、B、C、Dの中に一つ間違いがあります。どれか選びなさい。(选出A,B,C,D中使用错误的一个)まだ時間がありますので
"The dignity of movement of an iceberg is due to only one-eighth
价格和需求量之间的相关关系为
反切是中国古代注音识字的方法,切语“许良切”所注的字是
《全日制义务教育语文课程标准(实验稿)》规定,初中阶段学生每学年阅读名著
《我善养吾浩然之气》“宋人有闵其苗之不长而揠之者”中“闵”( )
➕
➖
📋
⬆️
已复制到剪贴板