翰林刷题,免费考试真题网站!
首页
关于我们
首页
›
分类
› 详情
X的期望E(X)
作者:高老师
时间:2024-07-28
浏览 1
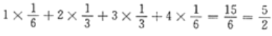
试求:
X的期望E(X)
【正确答案】:
【题目解析】:
📱 扫码体验刷题小程序
扫一扫使用我们的微信小程序
热门题目
以第一次国共合作为基础的国民革命统一战线正式形成的标志是( )
张之洞在《劝学篇》中提出的思想主张是
企业在利用营业推广方式促销时,要作出的主要决策有哪些?
简述社会主义核心价值观的基本内容。
简述焦虑的应对策略。
不放回简单随机抽样的必需最小样本容量和有放回随机抽样的必需最小样本容量的关系是
市场调研信息的主要来源不包括()
宏观消费问题不包括哪一项( )
下列哪种情况不属子消费者均衡的条件()。
まあ、やっと出来るよう( )なりました。
19世纪后,制定统一的国际贸易法律规范的原因有( )
反映长期失业状况的指标是
➕
➖
📋
⬆️
已复制到剪贴板