翰林刷题,免费考试真题网站!
首页
关于我们
首页
›
分类
› 详情
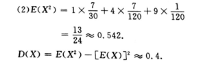
求D(X)
作者:高老师
时间:2024-07-28
浏览 0
若随机变量X的分布律为
求D(X)
【正确答案】:
【题目解析】:
📱 扫码体验刷题小程序
扫一扫使用我们的微信小程序
热门题目
下列各项属于主观臆想联系的是( )
试述我国企业资本运营未来发展趋势及特点。
根据财政政策对总供给和总需求调节的不同功能,可以把财政政策分为()
现代组织绩效管理过程中,组织战略起到的主要作用之一是
在建筑设计过程中,分析设计的各种条件包括_____
李さんは小野さんにお茶をあげました。 =小野さんは李さんにお茶を()
Allen Ginsberg, whose"Howl"became the manifesto of ______.
...and its whole staff was out in the cold without so much as a
G上市公司2007年年初发行在外普通股总数为1.495亿股,2007年8月1日增发新股3000万股;P上市公司2007年年初发行
() 是指一国货币当局不再规定本国货币与外国货币的比价,也不规定汇率波动的幅度,汇率由外汇市场的供求状况自发决定的一种汇率制度
(2005.4,多选23)国民待遇条款适用于()
什么是决策?决策分析的基本程序是什么?
➕
➖
📋
⬆️
已复制到剪贴板