翰林刷题,免费考试真题网站!
首页
关于我们
首页
›
分类
› 详情
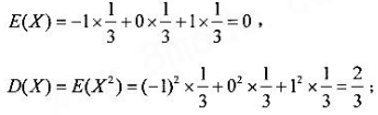
E(X),D(X)
作者:高老师
时间:2024-07-28
浏览 1
E(X),D(X)
【正确答案】:
【题目解析】:
📱 扫码体验刷题小程序
扫一扫使用我们的微信小程序
热门题目
简述项目的投资前时期。
在招聘和选拔人员时,当求职者不被期望在进入工作门槛时便拥有特定技能的情况下选拔人员的最好方法是
价值形式发展过程中,发生质变的阶段是
说明伦理导向下企业战略目标的特征。
分析X国国际收支平衡的总体状况。
说明全面生产维护的主要特征,并指出其能在哪些方面减少浪费。
教师通过模仿学前儿童的游戏来对学前儿童游戏施加影响,这属于( )
幼儿教育的任务是服务于幼儿的
对于银行已经入账而企业尚未入账的未达账项,企业应当
收到投资者投资,存入银行,根据借贷记账法编制会计分录,贷方所涉及的账户是( )。
The highest form of economic integration is called the economic
高考的英文翻译为( )
➕
➖
📋
⬆️
已复制到剪贴板