翰林刷题,免费考试真题网站!
首页
关于我们
首页
›
分类
› 详情
()
作者:高老师
时间:2024-07-28
浏览 1
()
A、13.4
B、13.3
C、13.2
D、8.4
【正确答案】:A
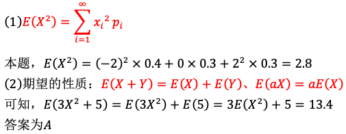
【题目解析】:
📱 扫码体验刷题小程序
扫一扫使用我们的微信小程序
热门题目
简述七届二中全会的主要内容及历史意义。
(中译英)他们正在讨论如何实施这项计划。
企业合同管理制度体系的内容包括
我国现行宪法规定:中华人民共和国()领导全国武装力量。
对着灯默默地(敬奠)这些苍翠精致的英雄们
论述:在学前智力落后儿童的早期教育中,如何贯彻个别化原则?
从事房地产开发的纳税人可按取得土地的使用权金额和房产开发成本两项之和加计()的扣除。
同度量因素不仅具有同度量的作用,而且具有( )的作用。
Generation after generation, we puzzle out formulas, test them,
addition
在采用基本分页内存管理方式的系统中,一个由3个页面(页号为0、1、2),每页由2K字节组成的程序,把它装入一个由8个页框(页框号
不属于存货计价方法的是( )。
➕
➖
📋
⬆️
已复制到剪贴板