翰林刷题,免费考试真题网站!
首页
关于我们
首页
›
分类
› 详情
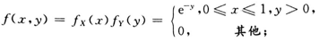
(X,Y)的概率密度f(x,y)
作者:高老师
时间:2024-07-28
浏览 0
(X,Y)的概率密度f(x,y)
【正确答案】:
【题目解析】:
📱 扫码体验刷题小程序
扫一扫使用我们的微信小程序
热门题目
客户发展阶梯的最后一步是
按照危机的性质,可以将公关危机划分为( )。
进行( ),是企业并购的首要环节,是决定成交的价值基础,也是谈判的焦点
资本结构理论是现代企业财务管理理论的核心内容,它隐含的启示有哪些?
在《蚂蚁大战》中,特别关注的是()
影响亲子关系的因素是多方面的,包括父母自身的因素、子女方面的因素,还有 。
商品的价值一直随价格的上升而上升。
主要侧重于采用独立观的国家及地区有( )。
资产=负债+所有者权益不是()
企业开展网络营销的最高级形态是
网络营销的特点不包括( )
white blood cell的意思是()
➕
➖
📋
⬆️
已复制到剪贴板