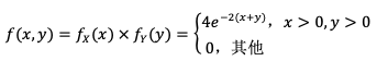
设相互独立的随机变量X,Y均服从参数为2的指数分布,则当x>0,y>0时,(X,Y)的概率密度f(x,y)=

作者:高老师 浏览 1

设相互独立的随机变量X,Y均服从参数为2的指数分布,则当x>0,y>0时,(X,Y)的概率密度f(x,y)=
【正确答案】:



【题目解析】:

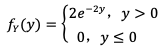
随机变量X服从参数为2的指数分布,则:随机变量Y服从参数为2的指数分布,则:因为X、Y相互独立,故:


📱 扫码体验刷题小程序

微信小程序二维码

扫一扫使用我们的微信小程序

热门题目

已复制到剪贴板