翰林刷题,免费考试真题网站!
首页
关于我们
首页
›
分类
› 详情
。
作者:高老师
时间:2024-07-28
浏览 0
。
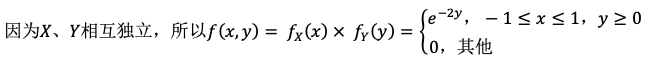
【正确答案】:
【题目解析】:
📱 扫码体验刷题小程序
扫一扫使用我们的微信小程序
热门题目
2023.10.14记事
实现人生价值的根本途径是
根据“智能框架”理论,一个好的决策过程包括( )
Betty: I’d like to intern during this summer holiday. __________
日本近代著名文学家夏目漱石的代表作是
企业发行可转换公司债券,应当在初始确认时将其包含的负债成分和权益成分进行分拆,将负债成分确认为应付债券,将权益成分确认为()
简述会计核算职能的特点。
汇总记账凭证账务处理程序登记总分类账的依据是( )
资本账户的余额总在借方,表示各项资本、公积金的实有数。
以用户需求为导向的企业资源整合与规划过程即是面向____的企业资源整合。
流水线CPU由于多条指令的重叠执行,当后续指令所需的操作数刚好是前一段指令的运行结果时,会发生
The change in the idiom “take short views” from the original for
➕
➖
📋
⬆️
已复制到剪贴板