作者:高老师 浏览 0




【正确答案】:


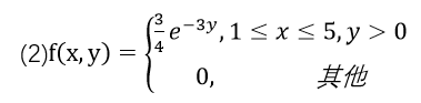
根据X与Y相互独立的性质公式:F(X,Y)=FX(X)·FY(Y), 得


【题目解析】:

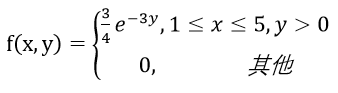
根据X与Y相互独立的性质公式:f(X,Y)=fx(X)·fy(Y), 得


📱 扫码体验刷题小程序

微信小程序二维码

扫一扫使用我们的微信小程序

热门题目

已复制到剪贴板