确定a的值。

作者:高老师 浏览 1

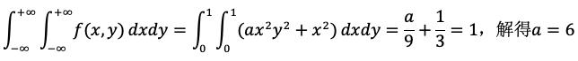
设二维随机变量(X,Y)的密度函数是

确定a的值。
【正确答案】:



【题目解析】:本题计算过程如下:

📱 扫码体验刷题小程序

微信小程序二维码

扫一扫使用我们的微信小程序

热门题目

已复制到剪贴板