计算D(Y)。

作者:高老师 浏览 0

设二维随机变量(X,Y)的密度函数是

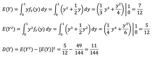
计算D(Y)。
【正确答案】:



【题目解析】:

方差的计算公式:D(Y)=E(Y²)-[E(Y)]²。期望的计算公式:计算过程详见答案。


📱 扫码体验刷题小程序

微信小程序二维码

扫一扫使用我们的微信小程序

热门题目

已复制到剪贴板