翰林刷题,免费考试真题网站!
首页
关于我们
首页
›
分类
› 详情
作者:高老师
时间:2024-07-28
浏览 0
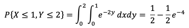
【正确答案】:
【题目解析】:
📱 扫码体验刷题小程序
扫一扫使用我们的微信小程序
热门题目
企业物流总成本等于( )之和。
经济危机、物价上涨、就业困难使得一些人失去生活信心,这种压力源属于()
牙膏厂将牙膏细分为价廉物美、防治牙病、洁齿美容、口味清爽四个市场,该厂细分市场的依据是( )
简述股票投资风险的防范措施。
健康行为通过反复实践,持久积累,自然地就形成了( )。
第一条价值准则我们称之为运营卓越。追求这条准则的公司主要不是产品或服务的创新者,它们也不培养与顾客深层的、一对一的关系。相反,运
由于速动资产易于变现,因此速动资产完全等同于企业的现时支付能力。( )
决策支持系统的发展趋势中,支持一组决策者同时参与决策会话,从而得到一个较为理想的决策结果的是()
( )是《二十年目睹之怪现状》中最具性格光彩的形象,透过这一形象,可以看到封建社会精神支柱彻底崩溃的情状。
幼儿园管理的总结工作不要一点论,应运用( )。
在赋予普通法以资产阶级含义的英国法学家是()
保护计算机软件的法律规范有【】
➕
➖
📋
⬆️
已复制到剪贴板