求P{X>Y}

作者:高老师 浏览 1

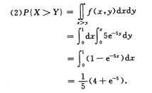
设随机变量X服从[0,1]上的均匀分布,Y服从参数为5的指数分布,且X与Y相互独立
求P{X>Y}
【正确答案】:



【题目解析】:

积分区域如下图:


📱 扫码体验刷题小程序

微信小程序二维码

扫一扫使用我们的微信小程序

热门题目

已复制到剪贴板