翰林刷题,免费考试真题网站!
首页
关于我们
首页
›
分类
› 详情
求X的期望E(X)
作者:高老师
时间:2024-07-28
浏览 1
求X的期望E(X)
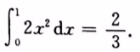
【正确答案】:
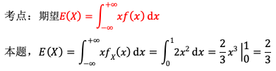
【题目解析】:
📱 扫码体验刷题小程序
扫一扫使用我们的微信小程序
热门题目
下列有关证券业务的专业人员范围的说法,正确的有( )。Ⅰ.证券公司中从事自营、经纪、承销、投资咨询、受托投资管理等业务的专业人员
The Workers' Role in ManagementTraditionally,it has been the wor
在教育史上,最早提出教育价值问题的是( )
凡是革命者都是不怕困难的;张同志是不怕困难的;所以.张同志是革命者。”这一推理是 ( )
非同一控制下的企业合并
找出横线部分的假名間違いを直します。()
根据企业会计准则的要求,对于资产负债表日后的调整事项,应当视同资产负债表所属期间发生的事项一样,做出相关账务处理;对于资产负债表
编制现金流量表的目的是( )
如果谈判对手是外行,则
下列《秋日登洪府滕王阁饯别序》文句中表现作者不甘沉沦、自我振作个性的有
自称“我完全不是一个艺术家,……我只是一个在暗夜里呼号的人”的作家是( )
下列关于血清淀粉酶的描述,正确的是( )
➕
➖
📋
⬆️
已复制到剪贴板