翰林刷题,免费考试真题网站!
首页
关于我们
首页
›
分类
› 详情
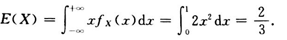
求E(X)
作者:高老师
时间:2024-07-28
浏览 0
求E(X)
【正确答案】:
【题目解析】:
📱 扫码体验刷题小程序
扫一扫使用我们的微信小程序
热门题目
( )是传统博客形式的一种演变,是MicroBIog的缩写,它也是一种用来通过互联网发布信息的集成化平台。
统计的基本特点是( )。
人身自由权的核心是( )
Insects are also interesting. First, they are very 76 ____animal
改革开放以来,农民工的职业流动呈现出()的特点。
下列各项,不属于企业留存收益的有()
意地悪( )
设A是正交矩阵,则以下结论不正确的是
举例说明商品的用途可以不断扩大。
市场调研策划分为四个阶段,其中调研策划中准备阶段的第一步是
简述世界贸易组织的职能。
刘基的散文写得最好的是()
➕
➖
📋
⬆️
已复制到剪贴板