翰林刷题,免费考试真题网站!
首页
关于我们
首页
›
分类
› 详情
求常数a
作者:高老师
时间:2024-07-28
浏览 0
求常数a
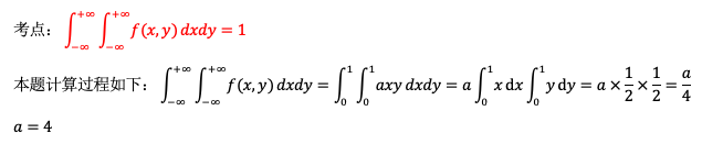
【正确答案】:
【题目解析】:
📱 扫码体验刷题小程序
扫一扫使用我们的微信小程序
热门题目
下列港口城市中有两条以上铁路相通的是()
“认识是主体对客体是直观反映”,这是一种
简述敏感性训练的做法。
《蒹葭》是一首()
简述幼儿园教学活动设计的特点。
目标管理过程的最后环节是
存在下列迹象的,表明固定资产等资产可能发生了减值( )。
如果信用证可以由原受益人转让给另一个或几个人,那么这种信用证即为可转让信用证。
简述计算机的组成部件。
黄遵宪先后于1879年和1899年完成了向国人介绍日本文化的精心杰作,有
陈奂生这个人物出自哪位作家的作品?()
简述新时期散文创作的特点。
➕
➖
📋
⬆️
已复制到剪贴板