翰林刷题,免费考试真题网站!
首页
关于我们
首页
›
分类
› 详情
作者:高老师
时间:2024-07-28
浏览 1
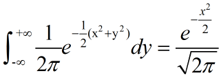
【正确答案】:
【题目解析】:
📱 扫码体验刷题小程序
扫一扫使用我们的微信小程序
热门题目
我国对外开放的格局是( )
设函数f(x)=xarcsin2x,求二阶导数f”(0).
当员工接受了企业的特殊培训后,培训收益的确定原则是
均衡变化:
文宇公司对海怀公司投资,占海怀公司表决权资本的18 %,海怀公司生产产品依靠文宇公 司提供的配方,并规定海怀公司不得改变文宇公司
《幼儿园工作规程》规定,幼儿园每日户外活动时间不得少于
怎样理解儿童心理发展年龄特征的特性?为什么在谈到儿童心理发展时要强调年龄特征?
任何人不得随意销毁会计档案。()
按照审计的目的和内容分类,审计可以分为( )。
在SQLServer2000中,查询表STUDENT中性别XB为空的行。请写出命令语句。
控制的含义不包括
冠心病
➕
➖
📋
⬆️
已复制到剪贴板