翰林刷题,免费考试真题网站!
首页
关于我们
首页
›
分类
› 详情
作者:高老师
时间:2024-07-28
浏览 0
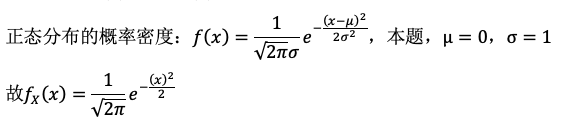
【正确答案】:
【题目解析】:
📱 扫码体验刷题小程序
扫一扫使用我们的微信小程序
热门题目
标志着科学社会主义理论公开面世的纲领性文件是( )
下列关于批发市场的功能的说法中,正确的有( )。
一个联言判断的真假是由其____________的真假来确定的。
改进题:The claims concerning the quality of the commodity shall be
与市场价值相比,_______是个人的价值,它未必是市场价值。()
下列各项中,属于责任会计内容的有( )。
促销具有广义、狭义的两层含义。其中,狭义的促销是指麦卡锡所指的4Ps要素之一。
报告文学可采用下列哪个方法来安排结构?
语言训练不包括()
缓冲区的设置可分为________、________、________、________、。
人民法院在审理下列民事案件时,必须经过调解程序的是( )
规定我国“实行学前教育、初等教育、中等教育、高等教育的学校教育制度”的法律是( )
➕
➖
📋
⬆️
已复制到剪贴板