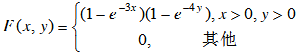
设(X,Y)的联合分布函数为,则(X,Y)关于X的边缘概率密度____________

作者:高老师 浏览 0

设(X,Y)的联合分布函数为,则(X,Y)关于X的边缘概率密度____________


【正确答案】:

    


【题目解析】:

📱 扫码体验刷题小程序

微信小程序二维码

扫一扫使用我们的微信小程序

热门题目

已复制到剪贴板