翰林刷题,免费考试真题网站!
首页
关于我们
首页
›
分类
› 详情
作者:高老师
时间:2024-07-28
浏览 1
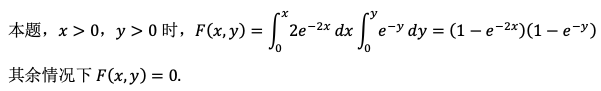
【正确答案】:
【题目解析】:
📱 扫码体验刷题小程序
扫一扫使用我们的微信小程序
热门题目
具有运力大、廉价、全天候、经常性、持续性、安全等特点的运输方式是( )。
商业信用的工具是()。
角色游戏
通常所说的劳动生产率,实际上是活劳动生产率。
My cousin likes eating very much, but he isn't very( )about the
企业进行产业环境分析的内容包括( )
在确定审计证据的相关性时,下列事项中不属于注册会计师应当考虑的是( )。
依据一定的信托契约而组织起来的代理投资行为,投资者通过购买收益凭证的方式成为基金的收益人的基金类型为
下列属于足值货币的是()
我国理论工作者和评估人员通常认为较为合适的专利的利润分成区间为
假设某企业每年需要某种生产材料9000个单位,每次的订货费用为500元/单位,这种材料的单位年度维持费用为100元/单位年,请利
菲利普•科特勒提出的6P理论即在原有4P组合的基础上加入( )
➕
➖
📋
⬆️
已复制到剪贴板