【正确答案】:

【题目解析】:
(1)区域D如下图所示:
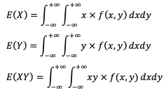
可知,阴影部分面积为1/2,故(x,y)∈D式,f(x,y)=1/(1/2)=2(2)协方差的计算公式:Cov(X,Y)=E(XY)-E(X)E(Y)期望的计算:
计算过程详见答案。

(1)区域D如下图所示:
可知,阴影部分面积为1/2,故(x,y)∈D式,f(x,y)=1/(1/2)=2(2)协方差的计算公式:Cov(X,Y)=E(XY)-E(X)E(Y)期望的计算:
计算过程详见答案。
📱 扫码体验刷题小程序
扫一扫使用我们的微信小程序