翰林刷题,免费考试真题网站!
首页
关于我们
首页
›
分类
› 详情
————。
作者:高老师
时间:2024-07-28
浏览 1
————。
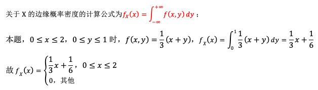
【正确答案】:
【题目解析】:
📱 扫码体验刷题小程序
扫一扫使用我们的微信小程序
热门题目
1843年,魏源在《海国图志》中提出的思想主张是( )
销售人员的绩效评估过程中,所考量的投入指标,下列属于定性指标的是()
销售三角理论认为,销售人员只有同时具备了( )条件,才能充分自如地发挥自己的才能。
关键成功因素法
“全选”的快捷键组合是( )。
当孩子让家长失望时,父母最忌讳的表达方式是( )
已知两个总体平均数相等,但标准差不等,则
将金融资产和金融负债相互抵消后,在资产负债表中以净额报告的情况有哪些?
在资产评估报告中,对资产进行清查、核实以及作为确定取价标准的日期是
海关计税方法中从价税的特点有()
定点超越的基本类型有( )。
简述销售团队的积极作用。
➕
➖
📋
⬆️
已复制到剪贴板