翰林刷题,免费考试真题网站!
首页
关于我们
首页
›
分类
› 详情
作者:高老师
时间:2024-07-28
浏览 0
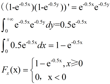
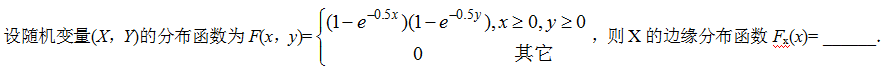
【正确答案】:
【题目解析】:
📱 扫码体验刷题小程序
扫一扫使用我们的微信小程序
热门题目
当代中国法的渊源不包括()
关税完税价格的核定部门是()
下列关于复式记账法特点的表述中,正确的有
运算符::叫做()
The word “idealistic” comprises()morphemes.
设X,Y为随机变量,已知D(X)=4, D(Y)=9, Cov(X,Y)=5,则D(X+Y)= __________。
在融资租赁业务核算中,出租人需要设置的账户是( )。
以国境作为统计货物进出口的方法,凡进入本国国境的货物一律计人进口贸易,凡离开本国国境的货物一律计人出口贸易,这种方法叫做()
市场营销信息系统包括哪些子系统?
根据《联合国国际货物买卖合同公约},对发价作出实质性变更的情形包括
美国贸易法中将知识产权保护作为目标的条款是
下列含有结果格的一句是
➕
➖
📋
⬆️
已复制到剪贴板