设二维随机变量(X,Y)的概率密度为f(x,y),则P{X>1}=( )

作者:高老师 浏览 0

设二维随机变量(X,Y)的概率密度为f(x,y),则P{X>1}=( )
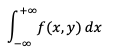
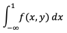
A、
B、
C、
D、
【正确答案】:B
【题目解析】:

P{X>1}=P{X>1,-∞


📱 扫码体验刷题小程序

微信小程序二维码

扫一扫使用我们的微信小程序

热门题目

已复制到剪贴板