翰林刷题,免费考试真题网站!
首页
关于我们
首页
›
分类
› 详情
作者:高老师
时间:2024-07-28
浏览 0
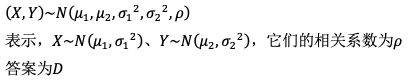
A、
B、
C、
D、
【正确答案】:D
【题目解析】:
📱 扫码体验刷题小程序
扫一扫使用我们的微信小程序
热门题目
标志着中国新民主主义革命伟大开端的是()
Computers have many uses today. Computers can solve difficult pr
什么是需求?什么是需求者?
某企业本年增加实收资本40万元,其中包括盈余公积转增资本25万元,接受固定资产投资6万元,货币投资9万元。因上述业务该企业年末所
陶行知强调“教学做合一”的中心是
美育的情感教育性质主要包括的内容有( )
“视觉悬崖”装置主要测查的是()
Which of the following statements is true? ( )
若一因在某种商品上的显示比较优势指标小于0.8,则表明()
企业国际化经营的一个主要特点,就是以国际市场为导向,适应国际市场的需求。为此,企业在组织结构、生产结构与产品结构方面要适时调整。
凭不附有单据的汇票付款的信用证是
《水浒》第二十四回“王婆贪贿说风情,郓哥不忿闹茶肆”中“王婆道:‘他家卖拖蒸河漏子,热烫温和大辣酥。’”其中的“大辣酥”为一种点
➕
➖
📋
⬆️
已复制到剪贴板