下列函数是随机变量的概率密度的是( )

作者:高老师 浏览 0

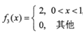
下列函数是随机变量的概率密度的是( )
A、
B、
C、
D、
【正确答案】:B
【题目解析】:

📱 扫码体验刷题小程序

微信小程序二维码

扫一扫使用我们的微信小程序

热门题目

已复制到剪贴板