翰林刷题,免费考试真题网站!
首页
关于我们
首页
›
分类
› 详情
作者:高老师
时间:2024-07-28
浏览 1
A、1/3
B、1/2
C、1
D、3
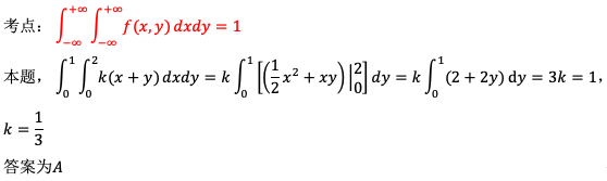
【正确答案】:A
【题目解析】:
📱 扫码体验刷题小程序
扫一扫使用我们的微信小程序
热门题目
中国革命道德是中国共产党人、人民军队、一切先进分子和人民群众在中国革命、建设和改革中形成的优秀道德,其内容极为丰富。下列选项中属
属于人力资源规划内部组织环境的信息是
以下对企业目标的描述错误的是( )
下列商品可以被认为是一件标准化产品的是
国家规定保育员的最低学历是()
下列( )岗位,不能属于会计岗位。
简述杜甫诗歌的写实手法。
元好问的论诗主张包括
下列属于有形语法形式的有
心境障碍
总承包单位依法将建设工程分包给其他单位的,当分包单位发生工程质量责任时
粉丝
➕
➖
📋
⬆️
已复制到剪贴板