设随机变量X与Y相互独立,且二维随机变量(X,Y)概率密度为则当时,( )

作者:高老师 浏览 0

设随机变量X与Y相互独立,且二维随机变量(X,Y)概率密度为则当时,( )


A、
B、
C、
D、
【正确答案】:C
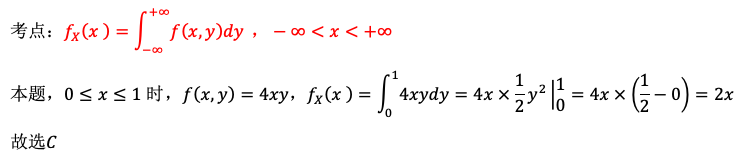
【题目解析】:

📱 扫码体验刷题小程序

微信小程序二维码

扫一扫使用我们的微信小程序

热门题目

已复制到剪贴板