E(Y),D(X)

作者:高老师 浏览 2



E(Y),D(X)
【正确答案】:



【题目解析】:

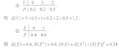
Y的边缘分布律:P{Y=0}=P{X=0,Y=0}+P{X=1,Y=0}=0.1+0.2=0.3P{Y=1}=P{X=0,Y=1}+P{X=1,Y=1}=0.1+0.1=0.2P{Y=2}=P{X=0,Y=2}+P{X=1,Y=2}=0.2+0.3=0.5X的边缘分布律:P{X=0}=P{X=0,Y=0}+P{X=0,Y=1}+P{X=0,Y=2}=0.1+0.1+0.2=0.4P{X=1}=P{X=1,Y=0}+P{X=1,Y=1}+P{X=1,Y=2}=0.2+0.1+0.3=0.6由此可知:E(Y)=1×0.2+2×0.5=1.2;E(X)=E(X²)=0.6方差:D(X)=E(X²)-[E(X)]²=0.24


📱 扫码体验刷题小程序

微信小程序二维码

扫一扫使用我们的微信小程序

热门题目

已复制到剪贴板