翰林刷题,免费考试真题网站!
首页
关于我们
首页
›
分类
› 详情
设(X,Y)的分布律为( )
作者:高老师
时间:2024-07-28
浏览 1
设(X,Y)的分布律为( )
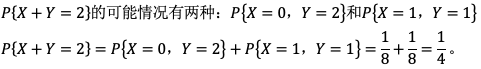
【正确答案】:1/4
【题目解析】:
📱 扫码体验刷题小程序
扫一扫使用我们的微信小程序
热门题目
中央银行垄断货币发行权,是全国唯一有权发行货币的机构,调节货币供应量、保证货币流通的正常与稳定,指的是中央银行的( )职能。
根据我国《公司法》的规定,可以作为有限责任公司股东出资的有
既可以从“等级性”上考虑,又可以从“侧面性”上考虑的是系统的
附设在初等学校或其他幼儿学校内,主要招收3-4岁儿童的英国教育机构是
Passage 1The term “quality” is one of the most misused in the bu
某电话机的需求方程为Q=30000-200P,该电话机起初的价格为70元。 问:(1)计算P=70元时的需求价格弹性;(保留二位
票据贴现对于商业银行来说,实质上是发放了一笔短期商业贷款,商业信用被替代为()
当代国际服务贸易的发展有什么特点?
制定跨国公司全球战略的是()
虚伪性较大,通常不能真实地反映行情变化的是
汉代选拔官员的制度有哪些?
中国文化的创始与奠基,指的是()
➕
➖
📋
⬆️
已复制到剪贴板