作者:高老师 浏览 0


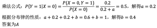
A、a=0.2,b=0.4
B、a=0.4,b=0.2
C、a=0.1,b=0.5
D、a=0.5,b=0.1
【正确答案】:A
【题目解析】:

📱 扫码体验刷题小程序

微信小程序二维码

扫一扫使用我们的微信小程序

热门题目

已复制到剪贴板