翰林刷题,免费考试真题网站!
首页
关于我们
首页
›
分类
› 详情
作者:高老师
时间:2024-07-28
浏览 1
A、0.3
B、0.5
C、0.6
D、0.8
【正确答案】:C
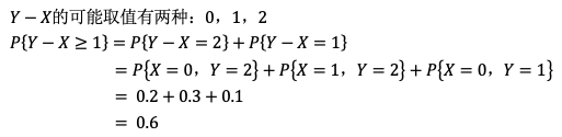
【题目解析】:
📱 扫码体验刷题小程序
扫一扫使用我们的微信小程序
热门题目
简述社会主义法治理念的本质要求。
依据我国《消费者权益保护法》规定,不属于经营者"三包"义务的是( )
在Windows 7中,可以移动窗口位置的操作是
发展适宜性教育是当今幼教界提倡的一种教育理念,提出这一教育理念的是
“小王并非既懂英语又懂法语”,如果这句话真,那么下面必真的是( )
diminish这个单词的意思是()
对于需求量大于供应量的运输问题,要虚设一个____。
请仔细听录音并选出对应的单词。( )
财政非税收入不包含
《豳风·七月》
急性冠状动脉综合征患者急性发病后需绝对卧床休息
甲亢患者术前准备时可减少甲状腺血流量、使甲状腺缩小变硬的药物是
➕
➖
📋
⬆️
已复制到剪贴板