翰林刷题,免费考试真题网站!
首页
关于我们
首页
›
分类
› 详情
作者:高老师
时间:2024-07-28
浏览 0
A、1/5
B、3/10
C、1/2
D、3/5
【正确答案】:C
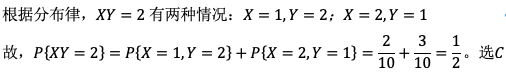
【题目解析】:
📱 扫码体验刷题小程序
扫一扫使用我们的微信小程序
热门题目
第一次工业革命期间,各种发明创造层出不穷,其中发明了蒸汽机车的是()。
人们在公共生活中应该举止文明、礼貌待人、和谐相处。这是社会公德中( )。
时装设计与成衣设计属于以下哪种现代设计形态
以下关于妇女劳动参与率提高的原因正确的是()
企业对于应付的商业承兑汇票,如果到期不能足额付款,在会计处理上应该将其转作
根据有关调查结果显示,孩子的精神需要首先是______。
父母是孩子的第一任教师,家庭是儿童成长的第一个学校,也是亲子关系建立与发展的基础,这句话体现了
按用途和结构分类,下列属于盘存账户的是
计算机除处理数值数据外,还可处理字符、汉字、位图图像和________四种非数值型数据。
As one of the greatest masters of English prose, ( )defined a go
In the Victorian Period ______ became the most widely read and t
➕
➖
📋
⬆️
已复制到剪贴板